Output

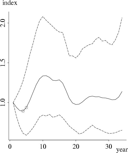
> sp.plot("cb", 10, cb.bootind.119.10, 1, 6, 1, conf=0.95)

$upturns:
[1] 4 5

$downturns:
[1] "none"

Graphical Output

demo output graph